Basic HTML Version
Table of Contents
View Full Version
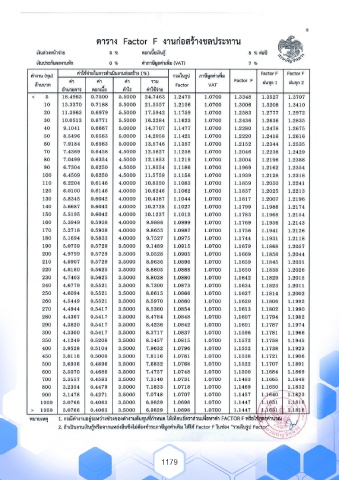
Page 1179 - FINAL-book ประมวลกฎหมาย เกี่ยวกับการจัดซื้อจัดจ้างและการบริหารพัสดุ(แก้ไขครั้งที่15)
P. 1179
1179
1174
1175
1176
1177
1178
1179
1180
1181
1182
1183
1184